Handledning Bedömning av influensområde avseende grundvattenbortledning

Modell 1

Radiellt grundvattenflöde till en cirkulär anläggning i ett magasin med öppna magasinsförhållanden och en tät botten.

Figur modell 1

Förutsättningar

  1. Det öppna magasinet antas vara homogent och isotropt och dess hydrauliska konduktivitet, K1 (L/T), mellan markytan och anläggningens botten antas vara mycket större än den hydrauliska konduktiviteten under anläggningens botten, K2 (L/T), det vill säga K<< K1.
  2. Summan av allt vatten som bortleds från anläggningen, Qa(L3/t), antas balanseras av grundvattenbildning, W (L/T). Saknas uppgift om grundvattenbildningen får man pröva att ansätta olika värden. Att anta att grundvattenbildningen är lika med nettonederbörden, det vill säga W =(P − E), där P (L/T) är nederbörden och E (L/T) är evapotranspirationen, ger ett mindre influensområde än om man antar att W < (PE).
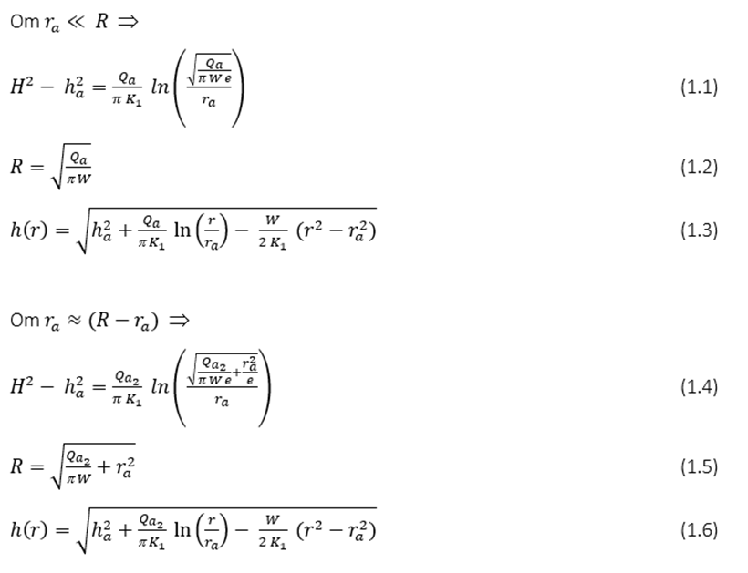
  3. Anläggningen får anses som liten om avståndet till kanten, ra (L), är försumbart i förhållande till influensavståndet, R (L), det vill säga om rR. Om detta villkor är uppfyllt kan allt vatten som bortleds anses vara inläckande grundvatten, det vill säga Q= Qg, där Q= W π R2 (L3/T)
  4. Omvänt får anläggningen anses som stor om r≈ (R − ra). Om så är fallet utgörs en del av det bortledda vattnet från anläggningen av nettonederbörd som faller över anläggningsarean, Qa1 = W π r2a(L3/T), och resten av det bortledda vattnet av inläckande grundvatten, dvs. Qa2 = Qg, där Qg =W π (R2 − r2a)(L3/T)
  5. Om ra ≈ (R − ra) bör beräkningarna nedan kontrolleras med en numerisk modell, alternativt beräknas med en annan analytisk modell.

Ekvationer

Ekvation för modell1

Beräkningsgång

För att kunna beräkna influensavståndet, R (L), måste först ekvation (1.1) alternativt ekvation (1.4) lösas rekursivt med avseende Qa respektive Qa2. En ansats kan vara att minimera ha, men även föra ett resonemang kring att ett högre ha (som följd av tätande åtgärder) minskar inläckaget och influensavståndet.

Avståndet R från anläggningens centrum till opåverkade grundvattennivåer beräknas sedan enligt ekvation (1.2) alternativt ekvation (1.5).

Grundvattenytans nivå på olika avstånd från anläggningens centrum beräknas med ekvation (1.3) alternativt ekvation (1.6). Dessa ekvationer kan även användas för att beräkna avståndet till medgivet gränsvärde för grundvattennivåsänkning.

Om anläggningens form inte är cirkulär kan man approximativt använda ovanstående ekvationer genom att använda radien för en ekvivalent cirkel, req(L):

Ekvation nr 7 för modell1

där a och b framgår av nedanstående figur.

Senast ändrad 2019-10-04

Skriv ut